Laser Characterization

Empowering laser characterization and diagnostics with mid-infrared sensing solutions

Growing need of Laser Beam diagnostics

With the recent years of rapid development in coherent infrared light sources, there is a growing need for beam diagnostics that can keep up with the new requirements.

NLIR offers the fastest available infrared spectrometer that can deliver live pulse-to-pulse spectra at a rate of 130 kHz. Hence, together with the portfolio of ns-rise-time detectors, we can provide unique insight into the development and use of new infrared light sources.

Mid-infrared spectroscopy OPEN NEW RESEARCH OPPORTUNITIES FOR LASER CHARACTERIZATION

Among all the wavelength regions, the mid-infrared spectrum is still relatively unknown to laser scientists. Despite the limited availability of mid-infrared laser sources on the market, many industries benefit from them. Mid-infrared lasers are used primarily for absorption spectroscopy and infrared imaging, but many other applications are also seeing the light of day as higher brightness, better mode quality, and better modulation become available. That has led to extensive research and growth of infrared laser technology in recent years.

Mid-infrared laser technology is a continuously developing field as a variety of different platforms and materials, such as semiconductor lasers, gas-based lasers, and fibre lasers evolve.

Why Fast, Sensitive and Accurate Laser DIagnositics?

The growth and progress of coherent infrared light sources creates new conditions for laser characterization. To ensure successful progress, equipment specialized for characterizing each device is required. Fast, sensitive, and accurate instruments are required for beam diagnostics, laser pulse characterization, and spectral power density measurements.

Below, you can explore how NLIR’s BUNDLE Spectrometers are used to achieve breakthroughs in laser characterization.

Growing need of laser characterization with NLIR mir spectroscopy
Super_continuum_laser_characterization using NLIR mid-infrared spectroscopy

Mid-infrared supercontinuum laser source

As an example, single pulses from a super-continuum laser source with a bandwidth of approx. 3.0 µm – 4.2 µm and a repetition rate of 40 kHz of 2 ns pulses were measured with 80 kHz full-spectrum readout rate and a resolution 4 cm-1.

In this figure,
(a) shows raw data of 12 ms data acquisition;
(b) shows a zoom where every other readout is empty as expected from 40 kHz repetition rate and 80 kHz sampling;
(c) shows 10 consecutive spectra. The fluctuations in the spectra are by far dominated by noise from the light source.

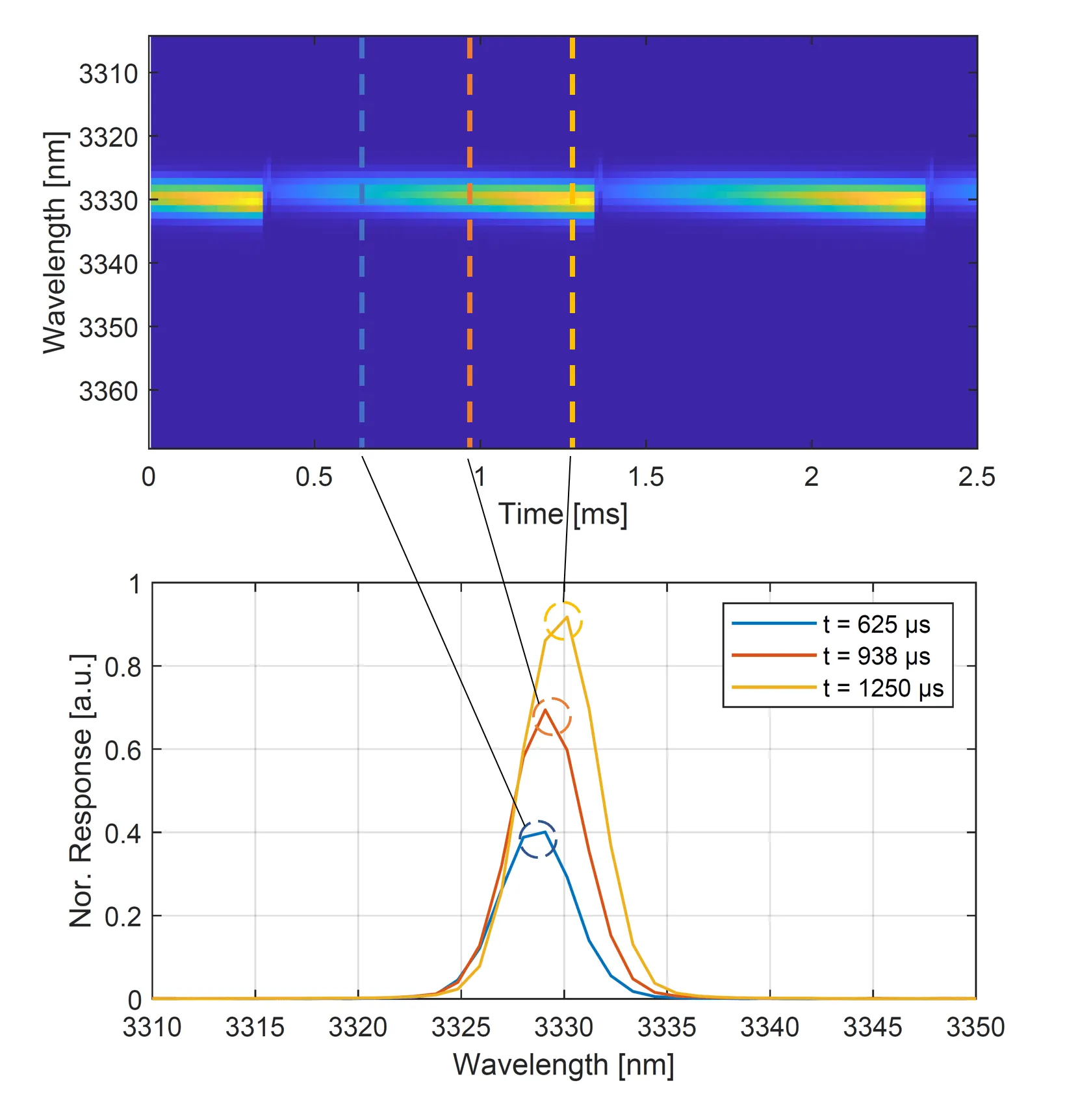
Modulating mid-infrared laser current

In this example, the drive current amplitude of a mid-infrared laser at 3330 nm was modulated linearly at 1 kHz, and the full spectrum of the emitted light was recorded at 80 kHz and a resolution 4 cm-1. The graph shows how both the amplitude and the center frequency of the laser change under the modulation of the drive current.

This characteristic could only be measured with NLIR’s kHz rate spectrometer.

These two laser characterization examples show how the NLIR’s Best Performer BUNDLE Spectrometer with its 130 kHz full spectrum readout rate gives unique insights into the mid-IR laser characterization.

mid-ir laser characterization at 3330 nm using NLIR mid-infrared spectroscopy solutions

Achieve Fast, sensitive and accurate laser characterization with NLIR

NLIR’s mid-IR BUNDLE Spectrometer offers unique insights into both the temporal and spectral domains of the light from a mid-infrared laser. With a bandwidth from 2 µm to 5 µm, full-spectrum readout rate up to 130 kHz, and sensitivity among the very best, many different laser properties can be characterized.

Reach out to us to explore your capabilities of laser diagnostics and characterization.

Best Performing VIS NIR Spectrometer Bundle coupled with SPEKTRUM Wavelength Converter

Sense It!

Add you details below to request our white paper on the characterization of pulsed lasers.

NLIR - Characterization of pulsed lasers

Improve Your Capabilities Today

Application Areas